Part Number Hot Search : 
LTC3826 5231B 1N445 AD537KH TL494 57164 MJ10021 R4045
Product Description
Full Text Search

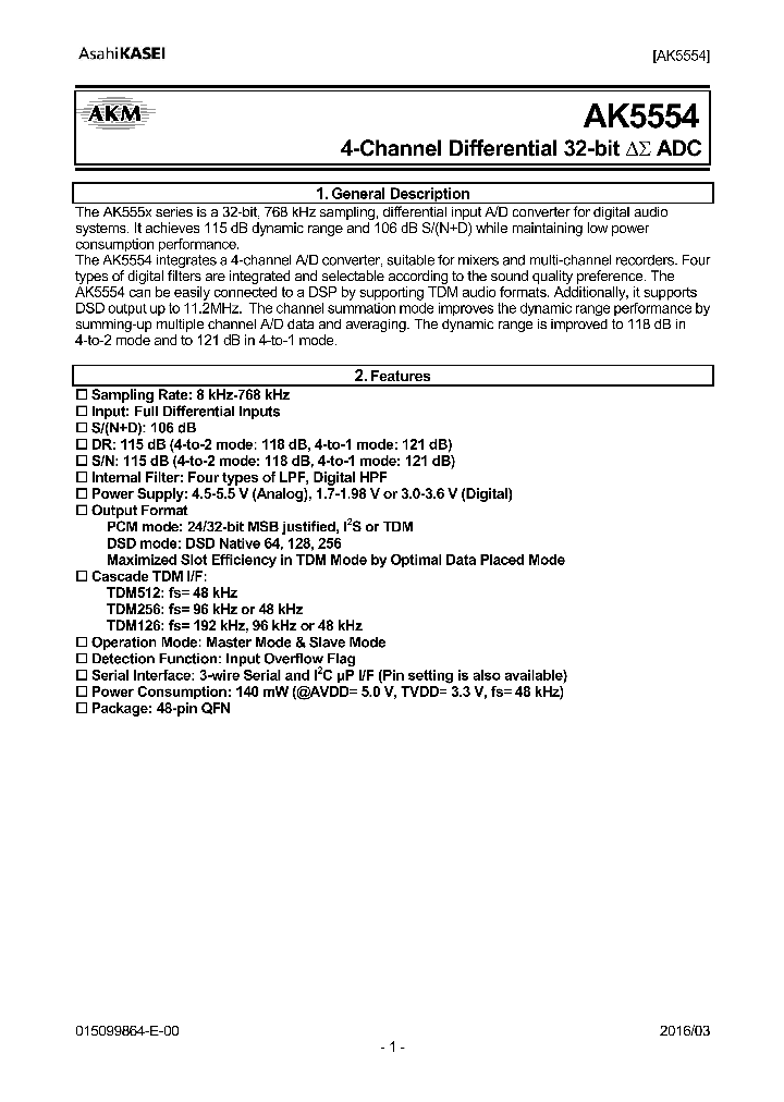
AK5554VN-16 -    4-Channel Differential 32-bit ADC

AK5554VN-16_8930265.PDF Datasheet


 Full text search :    4-Channel Differential 32-bit ADC
 Product Description search :    4-Channel Differential 32-bit ADC


 Related Part Number
PART Description Maker
MCP3204-BISL MCP3204-CIST MCP3204-CIP MCP3204-BIP 2.7V 4-Channel/8-Channel 12-Bit A/D Converters with SPI Serial Interface 2.7 4-Channel/8-Channel 12位A / D转换器具有SPI串行接口
TWIST-LOK 2.93,1 2.7 4-Channel/8-Channel 12位A / D转换器具有SPI串行接口
CBS SCREW-MOUNT NYLON 3/4,1 2.7 4-Channel/8-Channel 12位A / D转换器具有SPI串行接口
TWIST-LOK 2.68,1 2.7 4-Channel/8-Channel 12位A / D转换器具有SPI串行接口
400000 SYSTEM GATE 1.8 VOLT FPGA - NOT RECOMMENDED for NEW DESIGN 2.7 4-Channel/8-Channel 12位A / D转换器具有SPI串行接口
Microchip Technology Inc.
Microchip Technology, Inc.
SUB75N08-10 SUP75N08-10 N-Channel Enhancement-Mode Trans
N-Channel 75-V (D-S), 175C MOSFET
N-Channel 75-V (D-S), 175 Degrees Celcious MOSFET
N-Channel 75 N通道75
VISAY[Vishay Siliconix]
Vishay Intertechnology, Inc.
FDS6961AZ FDS6961AZL86Z FDS6961AZL99Z 3.5 A, 30 V, 0.09 ohm, 2 CHANNEL, N-CHANNEL, Si, POWER, MOSFET SO-8
TRANSISTOR | MOSFET | MATCHED PAIR | N-CHANNEL | 30V V(BR)DSS | 3.5A I(D) | SO
Dual N-Channel Logic Level PowerTrench MOSFET
Fairchild Semiconductor, Corp.
3N191 X3N190-91 3N190 3N190-91 X3N191 50 mA, 40 V, 2 CHANNEL, P-CHANNEL, Si, SMALL SIGNAL, MOSFET
30V N-Channel PowerTrench MOSFET
Dual P-Channel Enhancement Mode MOSFET General Purpose Amplifier
Calogic LLC
Calogic LLC
CALOGIC[Calogic, LLC]
DG408AK/883B Improved, 8-Channel/Dual 4-Channel, CMOS Analog Multiplexers 8-CHANNEL, SGL ENDED MULTIPLEXER, CDIP16
Maxim Integrated Products, Inc.
UT6898G-S08-R UT6898G-S08-T UT6898L-S08-R UT6898L- N-CHANNEL ENHANCEMENT
9.4 A, 20 V, 0.014 ohm, 2 CHANNEL, N-CHANNEL, Si, POWER, MOSFET LEAD FREE, SOP-8
Unisonic Technologies Co., Ltd.
FDP100N10 N-Channel PowerTrenchMOSFET 75 A, 100 V, 0.01 ohm, N-CHANNEL, Si, POWER, MOSFET, TO-220AB
N-Channel PowerTrench㈢ MOSFET
N-Channel PowerTrench? MOSFET
Fairchild Semiconductor, Corp.
DMN5L06VAK DMN5L06VK-7 DUAL N-CHANNEL ENHANCEMENT MODE FIELD EFFECT TRANSISTOR 280 mA, 50 V, 2 CHANNEL, N-CHANNEL, Si, SMALL SIGNAL, MOSFET
Diodes Inc.
Diodes, Inc.
MAX306C_D MAX30610 MAX307EUI-T MAX306EUI Precision, 16-Channel/Dual 8-Channel, High-Performance, CMOS Analog Multiplexers 8-CHANNEL, DIFFERENTIAL MULTIPLEXER, PDSO28
Maxim Integrated Products, Inc.
CMLDM5757 SURFACE MOUNT DUAL P-CHANNEL ENHANCEMENT-MODE SILICON MOSFETS
430 mA, 20 V, 2 CHANNEL, P-CHANNEL, Si, SMALL SIGNAL, MOSFET
Central Semiconductor Corp
ADG508ABCHIPS ADG508AKRZ ADG509AKPZ ADG509AKRZ ADG CMOS 8-Channel Analog Multiplexer; Package: CHIPS OR DIE; No of Pins: -; Temperature Range: Industrial 8-CHANNEL, SGL ENDED MULTIPLEXER, UUC16
CMOS 4-/8-Channel Analog Multiplexers
4-CHANNEL, DIFFERENTIAL MULTIPLEXER, PQCC20
4-CHANNEL, DIFFERENTIAL MULTIPLEXER, PDSO16
Analog Devices, Inc.
ANALOG DEVICES INC
SIZ710DT-T1-GE3 N-Channel 20 V (D-S) MOSFETs
16 A, 20 V, 0.0068 ohm, 2 CHANNEL, N-CHANNEL, Si, POWER, MOSFET 6 X 3.73 MM, HALOGEN FREE AND ROHS COMPLIANT, LEADLESS, POWERPAIR, 6 PIN
Vishay Siliconix
Vishay Intertechnology, Inc.
 
 Related keyword From Full Text Search System
AK5554VN-16 查询 AK5554VN-16 national AK5554VN-16 Download AK5554VN-16 alldatasheet AK5554VN-16 coilcraft
AK5554VN-16 Logic AK5554VN-16 informacion de AK5554VN-16 参数 封装 AK5554VN-16 noise AK5554VN-16 baumer ivo gxmmw
 

 

Price & Availability of AK5554VN-16

All Rights Reserved © IC-ON-LINE 2003 - 2022  

[Add Bookmark] [Contact Us] [Link exchange] [Privacy policy]
Mirror Sites :  [www.datasheet.hk]   [www.maxim4u.com]  [www.ic-on-line.cn] [www.ic-on-line.com] [www.ic-on-line.net] [www.alldatasheet.com.cn] [www.gdcy.com]  [www.gdcy.net]


 . . . . .
  We use cookies to deliver the best possible web experience and assist with our advertising efforts. By continuing to use this site, you consent to the use of cookies. For more information on cookies, please take a look at our Privacy Policy. X
0.3619110584259