Part Number Hot Search : 
PA692 15800 MX7847BN MAX60 SA24ARL BC857CT 1N5817 SFH42102
Product Description
Full Text Search

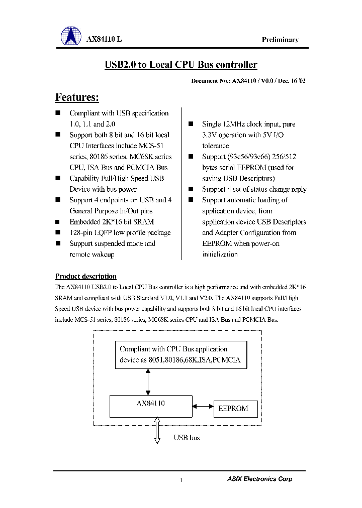
AX84110L - 0.3-3.6V; USB2.0 to local CPU bus controller

AX84110L_8285631.PDF Datasheet


 Full text search : 0.3-3.6V; USB2.0 to local CPU bus controller
 Product Description search : 0.3-3.6V; USB2.0 to local CPU bus controller


 Related Part Number
PART Description Maker
TS8GJF300 8GB USB2.0 JetFlash垄莽300
8GB USB2.0 JetFlash?300
Transcend Information. Inc.
TS2GJFV15 2GB USB2.0 JetFlash垄芒V15
2GB USB2.0 JetFlash?V15
Transcend Information. Inc.
TS8GJFV15 8GB USB2.0 JetFlash垄芒V15
8GB USB2.0 JetFlash?V15
Transcend Information. Inc.
TS16GJF300 16GB USB2.0 JetFlash垄莽300
16GB USB2.0 JetFlash?300
Transcend Information. Inc.
PM7375 1931127 PM7375-SC ATM SAR and PHY Processor for PCI Bus
LOCAL ATM SAR & PHYSICAL LAYER
From old datasheet system
155 LASAR-LOCAL
PMC[PMC-Sierra, Inc]
PMC-Serria
TS512MJF110 512MB USB2.0 JetFlash垄芒110
512MB USB2.0 JetFlash?10
Transcend Information. Inc.
TS1GJF2A 1GB USB2.0 JetFlash垄莽2A
1GB USB2.0 JetFlash?2A
Transcend Information. Inc.
Transcend Information. ...
MAX664209 MAX6642ATT90-T MAX6642ATT92-T MAX6642ATT ±1°C, SMBus-Compatible Remote/Local Temperature Sensor with Overtemperature Alarm
隆戮1隆?C, SMBus-Compatible Remote/Local Temperature Sensor with Overtemperature Alarm
卤1掳C, SMBus-Compatible Remote/Local Temperature Sensor with Overtemperature Alarm
±1°C, SMBus-Compatible Remote/Local Temperature Sensor with Overtemperature Alarm DIGITAL TEMP SENSOR-SERIAL, 10BIT(s), 1Cel, SQUARE, SURFACE MOUNT
Maxim Integrated Produc...
Maxim Integrated Products, Inc.
PCF80C552-5-24WP/07 PCB80C552-5-16WP/07 P83C552KBB    Single-chip 8-bit microcontroller
IC-SM-8-BIT CPU
MICROCONTROLLER|8-BIT|8051 CPU|CMOS|QFP|80PIN|PLASTIC
MICROCONTROLLER|8-BIT|8051 CPU|CMOS|LDCC|68PIN|PLASTIC
IC-SM-CPU 集成电路钐的CPU
NXP Semiconductors N.V.
HWB3163-EVAL FN4794 PRISM II?/a> 11Mbps Wireless Local Area Network PC Card
PRISM II⑩ 11Mbps Wireless Local Area Network PC Card
From old datasheet system
PRISM II 11Mbps Wireless Local Area Network PC Card
PRISM II11Mbps Wireless Local Area Network PC Card
Intersil Corporation
 
 Related keyword From Full Text Search System
AX84110L lcd AX84110L planar AX84110L 中文网站 AX84110L pnp AX84110L instruments
AX84110L 器件参数 AX84110L corporation AX84110L DATASHEET PDF AX84110L level converter AX84110L Capacitor
 

 

Price & Availability of AX84110L

All Rights Reserved © IC-ON-LINE 2003 - 2022  

[Add Bookmark] [Contact Us] [Link exchange] [Privacy policy]
Mirror Sites :  [www.datasheet.hk]   [www.maxim4u.com]  [www.ic-on-line.cn] [www.ic-on-line.com] [www.ic-on-line.net] [www.alldatasheet.com.cn] [www.gdcy.com]  [www.gdcy.net]


 . . . . .
  We use cookies to deliver the best possible web experience and assist with our advertising efforts. By continuing to use this site, you consent to the use of cookies. For more information on cookies, please take a look at our Privacy Policy. X
0.88388109207153