Part Number Hot Search : 
SMAJ24CA LM4001 LBN14008 DF59S MCP3905A 20202 MHW9125 SDH10KS
Product Description
Full Text Search

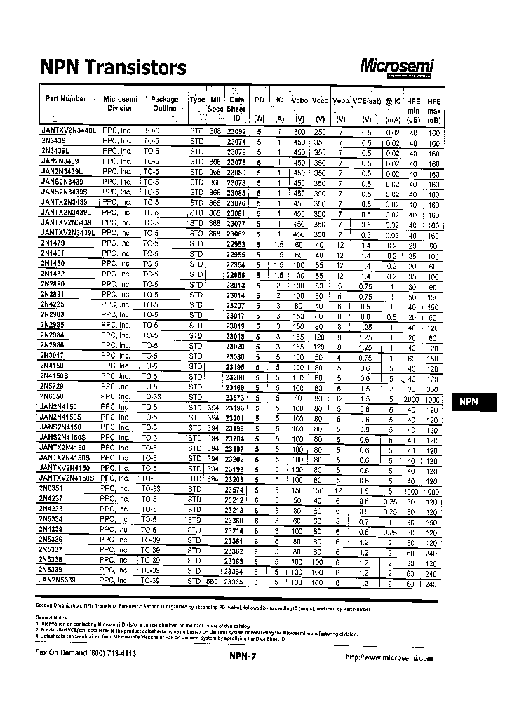
2N2984 - Si, SMALL SIGNAL TRANSISTOR, TO-5

2N2984_7984194.PDF Datasheet


 Full text search : Si, SMALL SIGNAL TRANSISTOR, TO-5
 Product Description search : Si, SMALL SIGNAL TRANSISTOR, TO-5


 Related Part Number
PART Description Maker
2SB1236ATV3 2SD1866TV6C 2SD1866TV3C 2SC4016TV2 2SD 1500 mA, 160 V, PNP, Si, SMALL SIGNAL TRANSISTOR
2000 mA, 70 V, NPN, Si, SMALL SIGNAL TRANSISTOR
500 mA, 32 V, NPN, Si, SMALL SIGNAL TRANSISTOR
5000 mA, 20 V, NPN, Si, SMALL SIGNAL TRANSISTOR

BZX84C18ET1 BZX84C18ET3 BZX84C4V7ET1 BZX84C7V5ET3 Small Signal 5% 27V
Small Signal 5% 10V
Small Signal 5% 5.6V
Small Signal 5% 6.2V
Small Signal 5% 6.8V
Small Signal 4.7V
Small Signal 5% 5.1V
Zener Voltage Regulators
From old datasheet system
ONSEMI[ON Semiconductor]
CSC1730R CSC3199Y CN451 TIS86 MPSA43 MPSH32 150 mA, NPN, Si, SMALL SIGNAL TRANSISTOR, TO-92
1000 mA, NPN, Si, SMALL SIGNAL TRANSISTOR, TO-92
VHF BAND, Si, NPN, RF SMALL SIGNAL TRANSISTOR, TO-92
500 mA, NPN, Si, SMALL SIGNAL TRANSISTOR, TO-92

BSS119 Q67000-S007 Q67000-S063 SIPMOS Small-Signal Transistor (N channel Enhancement mode) 170 mA, 100 V, N-CHANNEL, Si, SMALL SIGNAL, MOSFET
16 Characters x 1 Lines, 5x7 Dot Matrix Character and Cursor
SIPMOS ? Small-Signal Transistor
From old datasheet system
SIEMENS AG
Infineon
SIEMENS[Siemens Semiconductor Group]
2N947 2N709A 2N930B 2N720A 2N726 2N718A 2N760A 2N8 Leaded Small Signal Transistor General Purpose
Small Signal Transistors 60 V, NPN, Si, SMALL SIGNAL TRANSISTOR, TO-18
Small Signal Transistors 15 V, NPN, Si, SMALL SIGNAL TRANSISTOR, TO-18
Small Signal Transistors 32 V, NPN, Si, SMALL SIGNAL TRANSISTOR, TO-18
Seme LAB
Microsemi Corporation
CENTRAL[Central Semiconductor Corp]
Central Semiconductor Corp.
Central Semiconductor, Corp.
MMBTA43 MMBTA42 TRANSISTOR 500 mA, 200 V, NPN, Si, SMALL SIGNAL TRANSISTOR, PLASTIC PACKAGE-3, BIP General Purpose Small Signal
500 mA, 300 V, NPN, Si, SMALL SIGNAL TRANSISTOR
Vishay Semiconductors
MPSA42 MPSA43 500 mA, 300 V, NPN, Si, SMALL SIGNAL TRANSISTOR, TO-92
TRANSISTOR 500 mA, 200 V, NPN, Si, SMALL SIGNAL TRANSISTOR, TO-92, PLASTIC PACKAGE-3, BIP General Purpose Small Signal
VISHAY SEMICONDUCTORS
BC858AW-7-F BC858BW-7-F BC857CW-7-F BC858CW-7-F BC TRANS PNP BIPOLAR 45V SOT-323 100 mA, 45 V, PNP, Si, SMALL SIGNAL TRANSISTOR
100 mA, 30 V, PNP, Si, SMALL SIGNAL TRANSISTOR GREEN, PLASTIC PACKAGE-3
PNP SMALL SIGNAL SURFACE MOUNT TRANSISTOR
Diodes Inc.
Diodes, Inc.
Diodes Incorporated
2SB1331T105/PQ 2SB1306/P 2SB1306T103/QR 2SB1306/QR 2 A, 32 V, PNP, Si, POWER TRANSISTOR
5 A, 20 V, PNP, Si, POWER TRANSISTOR, TO-92L
2000 mA, 20 V, PNP, Si, SMALL SIGNAL TRANSISTOR, TO-92L
1000 mA, 80 V, PNP, Si, SMALL SIGNAL TRANSISTOR, TO-92L
700 mA, 80 V, PNP, Si, SMALL SIGNAL TRANSISTOR, TO-92L
100 mA, 400 V, NPN, Si, SMALL SIGNAL TRANSISTOR, TO-92L
1000 mA, 80 V, NPN, Si, SMALL SIGNAL TRANSISTOR, TO-92L
700 mA, 80 V, PNP, Si, SMALL SIGNAL TRANSISTOR, TO-92LS

DDTC114WE DDTC114WE-7 DDTC114YE DDTC114YE-7 DDTC12 SNAP LOCK CABLE MARKER - W 100 mA, 50 V, NPN, Si, SMALL SIGNAL TRANSISTOR
4-Indent D-Sub Crimper; For Use With:4-Indent Closed-Barrel D-Sub Contacts; Color:Red; Series:1440; Wire Size (AWG):20-12 RoHS Compliant: Yes npn型预偏置信号小的SOT - 523表面贴装晶体
NPN PRE-BIASED SMALL SIGNAL SOT-523 SURFACE MOUNT TRANSISTOR 100 mA, 50 V, NPN, Si, SMALL SIGNAL TRANSISTOR
NPN PRE-BIASED SMALL SIGNAL SOT-523 SURFACE MOUNT TRANSISTOR npn型预偏置信号小的SOT - 523表面贴装晶体
NPN PRE-BIASED SMALL SIGNAL SOT-523 SURFACE MOUNT TRANSISTOR
Diodes, Inc.
Diodes Inc.
DIODES[Diodes Incorporated]
2N2060A Dual Amplifier Transistor(Small Signal Dual Transistor in a TO-77 Hermetic Package具有放大器功能的双晶体管(TO-77封装两个小信号晶体管 双放大器晶体管(双小信号晶体管采用TO - 77气密封装)(具有放大器功能的双晶体管(至77封装两个小信号晶体管))
DUAL AMPLIFIER TRANSISTOR 500 mA, 60 V, 2 CHANNEL, NPN, Si, SMALL SIGNAL TRANSISTOR, MO-002AF
Central Semiconductor, Corp.
TT electronics Semelab, Ltd.
Semelab(Magnatec)
TT electronics Semelab Limited
SEME-LAB[Seme LAB]
 
 Related keyword From Full Text Search System
2N2984 register 2N2984 Instrument 2N2984 cost 2N2984 Pin 2N2984 lead
2N2984 module 2N2984 battery charger circuit 2N2984 Clock 2N2984 analog 2N2984 timer
 

 

Price & Availability of 2N2984

All Rights Reserved © IC-ON-LINE 2003 - 2022  

[Add Bookmark] [Contact Us] [Link exchange] [Privacy policy]
Mirror Sites :  [www.datasheet.hk]   [www.maxim4u.com]  [www.ic-on-line.cn] [www.ic-on-line.com] [www.ic-on-line.net] [www.alldatasheet.com.cn] [www.gdcy.com]  [www.gdcy.net]


 . . . . .
  We use cookies to deliver the best possible web experience and assist with our advertising efforts. By continuing to use this site, you consent to the use of cookies. For more information on cookies, please take a look at our Privacy Policy. X
0.13958597183228