Part Number Hot Search : 
PICADLL C410C MIC52 HERF1604 74HC652 2SK75 1N400 BZW03C11
Product Description
Full Text Search

R2000 - 0.5 A, SILICON, SIGNAL DIODE, DO-41

R2000_7726471.PDF Datasheet

 
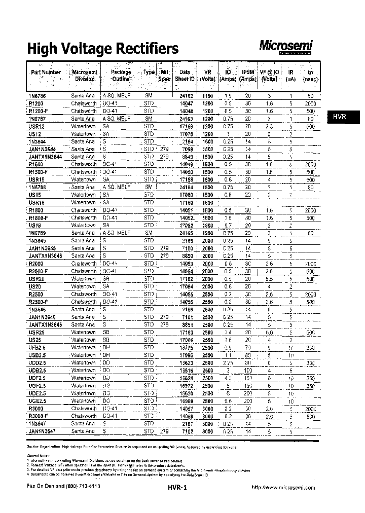
Part No. R2000
Description 0.5 A, SILICON, SIGNAL DIODE, DO-41

File Size 90.38K  /  1 Page  

Maker

MICROSEMI CORP



JITONG TECHNOLOGY
(CHINA HK & SZ)
Datasheet.hk's Sponsor

Part: R2000F
Maker:
Pack: DO-41
Stock: Reserved
Unit price for :
    50: $0.02
  100: $0.02
1000: $0.02

Email: oulindz@gmail.com

Contact us

Homepage
Download [ ]
[ R2000 Datasheet PDF Downlaod from Datasheet.HK ]
[R2000 Datasheet PDF Downlaod from Maxim4U.com ] :-)


[ View it Online ]   [ Search more for R2000 ]

[ Price & Availability of R2000 by FindChips.com ]

 Full text search : 0.5 A, SILICON, SIGNAL DIODE, DO-41
 Product Description search : 0.5 A, SILICON, SIGNAL DIODE, DO-41


 Related Part Number
PART Description Maker
SR02150 SR0220 SR02100-HF-T SR02200-HF-F SR0220-HF LOW Vf SCHOTTKY BARRIER RECTIFIER
0.2 A, 100 V, SILICON, SIGNAL DIODE, DO-41
0.2 A, 200 V, SILICON, SIGNAL DIODE, DO-41
0.2 A, 20 V, SILICON, SIGNAL DIODE, DO-41
0.2 A, 150 V, SILICON, SIGNAL DIODE, DO-41
Rectron Semiconductor
RECTRON LTD
UMA5817 UMA5818 UMA5819 MA5817 MVUMA5819 MQUMA5817 1 A, 40 V, SILICON, SIGNAL DIODE
ULTRAMITTE SURFACE MOUNT SCHOTTKY BARRIER RECTIFIERS 1 A, 30 V, SILICON, SIGNAL DIODE
1 A, 20 V, SILICON, SIGNAL DIODE
Microsemi, Corp.
MICROSEMI[Microsemi Corporation]
MICROSEMI CORP-SCOTTSDALE
GP10YHE3/73 GP10YHE3/54 GP10W-E3/54 GP10VHE3/73 1 A, 1600 V, SILICON, SIGNAL DIODE, DO-204AL ROHS COMPLIANT, PLASTIC, DO-41, 2 PIN
1 A, 1500 V, SILICON, SIGNAL DIODE, DO-204AL
1 A, 1400 V, SILICON, SIGNAL DIODE, DO-204AL
Vishay Beyschlag
VISHAY SEMICONDUCTORS
BYM06-400 BYM06-600 BYM06-100 BYM06-50 0.5 A, 400 V, SILICON, SIGNAL DIODE
0.5 A, 600 V, SILICON, SIGNAL DIODE
0.5 A, 100 V, SILICON, SIGNAL DIODE
0.5 A, 50 V, SILICON, SIGNAL DIODE
Vishay Intertechnology, Inc.
Spacecraft Components, Corp.
BYW27-200TR BYW27-1000TR BYW27-100TR BYW27-400AMP 1 A, 200 V, SILICON, SIGNAL DIODE PLASTIC PACKAGE-2
1 A, 1000 V, SILICON, SIGNAL DIODE PLASTIC PACKAGE-2
1 A, 100 V, SILICON, SIGNAL DIODE PLASTIC PACKAGE-2
1 A, 400 V, SILICON, SIGNAL DIODE PLASTIC PACKAGE-2
1 A, 600 V, SILICON, SIGNAL DIODE PLASTIC PACKAGE-2
Vishay Beyschlag
TE Connectivity, Ltd.
TOKO, Inc.
1N4454UR-1 JANTX1N4454UR-1 JANTXV1N4454UR-1 JAN1N4 Signal or Computer Diode
MINI-MELF-SMD Silicon Swithching Diode 0.2 A, SILICON, SIGNAL DIODE, DO-213AA
MICROSEMI[Microsemi Corporation]
Microsemi, Corp.
MA141WATX MA142AH 2SK663H 0.1 A, 2 ELEMENT, SILICON, SIGNAL DIODE
0.1 A, SILICON, SIGNAL DIODE
30 mA, N-CHANNEL, Si, SMALL SIGNAL, JFET
PANASONIC CORP
RGP10KE RGP10AE RGP10DE RGP10BE RGP10JE DIODE 1 A, 100 V, SILICON, SIGNAL DIODE, DO-204AL, PLASTIC, DO-41, 2 PIN, Signal Diode
Diodes
DIODE 1 A, 600 V, SILICON, SIGNAL DIODE, DO-204AL, PLASTIC, DO-41, 2 PIN, Signal Diode
Vishay Semiconductors
RS0115B SPD0801SMS SPD0801SMSS SPD1001SMSS SPD0901 SCHOTTKY RECTIFIER
1 AMPS 80-100 VOLTS SCHOTTKY RECTIFER
1 A, 80 V, SILICON, SIGNAL DIODE
1 A, 100 V, SILICON, SIGNAL DIODE
1 A, 90 V, SILICON, SIGNAL DIODE
Solid States Devices, Inc
SOLID STATE DEVICES INC
1N3207 1N3064M 1N3069M 1N3206 1N897 MC001 MC002 MC PELLET DIODES 0.1 A, SILICON, SIGNAL DIODE
PELLET DIODES 0.005 A, SILICON, SIGNAL DIODE
PELLET DIODES 0.05 A, SILICON, SIGNAL DIODE
PELLET DIODES 0.01 A, SILICON, SIGNAL DIODE
(1N897 - 1N899) PELLET DIODES
Signal or Computer Diode
Microsemi, Corp.
Microsemi Corporation
BAS16 Surface Mount Silicon Planar Small-Signal Diode 0.2 A, 85 V, SILICON, SIGNAL DIODE, TO-236
Diotec Semiconductor AG
 
 Related keyword From Full Text Search System
R2000 advantech pdf R2000 step R2000 device R2000 Terminal R2000 filetype:pdf
R2000 Detector R2000 Switching R2000 ohm R2000 Controller R2000 Control
 

 

Price & Availability of R2000

All Rights Reserved © IC-ON-LINE 2003 - 2022  

[Add Bookmark] [Contact Us] [Link exchange] [Privacy policy]
Mirror Sites :  [www.datasheet.hk]   [www.maxim4u.com]  [www.ic-on-line.cn] [www.ic-on-line.com] [www.ic-on-line.net] [www.alldatasheet.com.cn] [www.gdcy.com]  [www.gdcy.net]


 . . . . .
  We use cookies to deliver the best possible web experience and assist with our advertising efforts. By continuing to use this site, you consent to the use of cookies. For more information on cookies, please take a look at our Privacy Policy. X
0.052061080932617