Part Number Hot Search : 
10120511 2N687 SAA7201 MA3810 DTD543EM 4650AX K1144B SMBJ24C
Product Description
Full Text Search

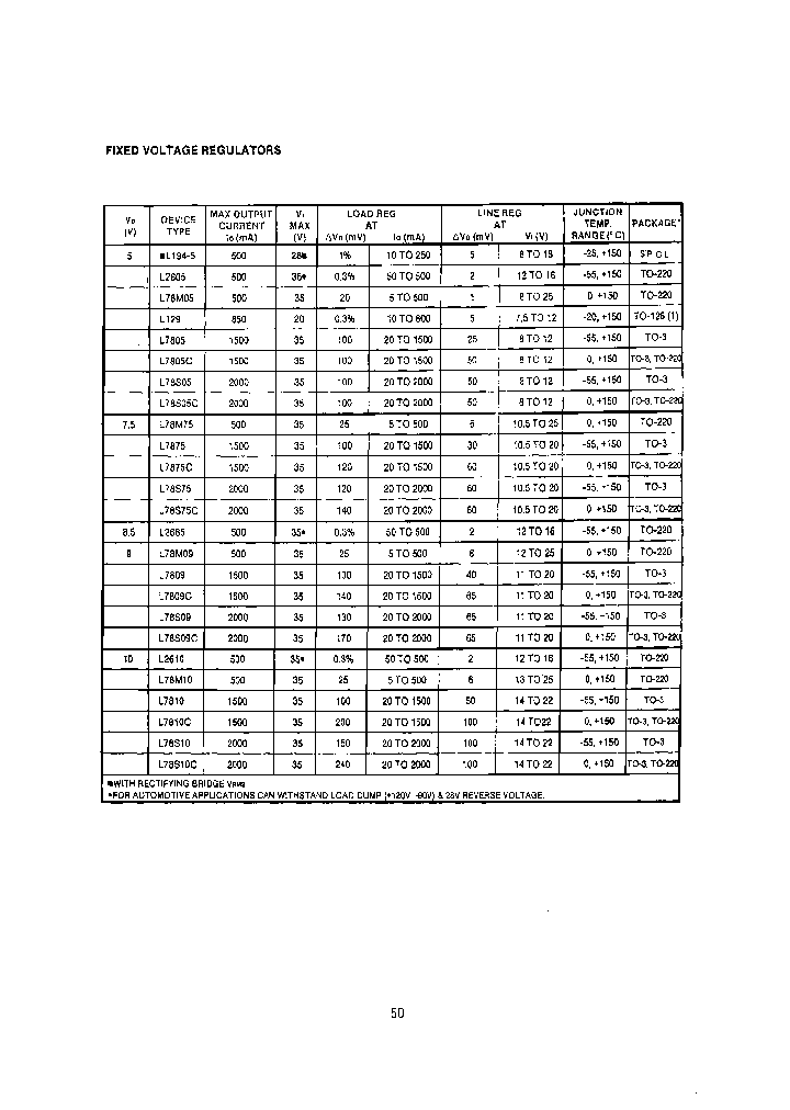
L129 - 5 V FIXED POSITIVE REGULATOR, PSIP3 7.5 V FIXED POSITIVE REGULATOR, PSFM3

L129_7004990.PDF Datasheet


 Full text search : 5 V FIXED POSITIVE REGULATOR, PSIP3 7.5 V FIXED POSITIVE REGULATOR, PSFM3
 Product Description search : 5 V FIXED POSITIVE REGULATOR, PSIP3 7.5 V FIXED POSITIVE REGULATOR, PSFM3


 Related Part Number
PART Description Maker
APL111728FC-TRG APL111728VC-TRG APL111750VC-TRL AP    1A Low Dropout Fast Response Positive Adjustable Regulator and Fixed 1.2V,1.8V, 2.5V, 2.85V, 3.3V and 5V
5 V FIXED POSITIVE LDO REGULATOR, 1.3 V DROPOUT, PSSO2
2.85 V FIXED POSITIVE LDO REGULATOR, 1.3 V DROPOUT, PDSO4 GREEN, PLASTIC, TO-261AA, SOT-223, 4 PIN
2.85 V FIXED POSITIVE LDO REGULATOR, 1.3 V DROPOUT, SFM3 GREEN, TO-220AB, 3 PIN
1.2 V FIXED POSITIVE LDO REGULATOR, 1.3 V DROPOUT, PSSO2
Anpec Electronics Coropration
ANPEC ELECTRONICS CORP
Anpec Electronics, Corp.
Anpec Electronics Corop...
MIC37101-1.5BM MIC37101-1.5YM MIC37101-1.65BM MIC3 1.65 V FIXED POSITIVE LDO REGULATOR, 0.5 V DROPOUT, PDSO8
1A LOW VOLTAGE U CAP LDO REGULATOR 1.8 V FIXED POSITIVE LDO REGULATOR, 0.5 V DROPOUT, PDSO4
1A LOW VOLTAGE U CAP LDO REGULATOR 1.65 V FIXED POSITIVE LDO REGULATOR, 0.5 V DROPOUT, PDSO4
1A LOW VOLTAGE U CAP LDO REGULATOR 2.5 V FIXED POSITIVE LDO REGULATOR, 0.5 V DROPOUT, PDSO4
1A LOW VOLTAGE U CAP LDO REGULATOR 2.5 V FIXED POSITIVE LDO REGULATOR, 0.5 V DROPOUT, PDSO8
1A LOW VOLTAGE U CAP LDO REGULATOR 1.8 V FIXED POSITIVE LDO REGULATOR, 0.5 V DROPOUT, PDSO8
FPGA 1600000 SYSTEM GATE 1.8 VOLT - NOT RECOMMENDED for NEW DESIGN
; Leaded Process Compatible:No; Peak Reflow Compatible (260 C):No RoHS Compliant: No
MICREL INC
Micrel Semiconductor, Inc.
Micrel Semiconductor,Inc.
MICREL[Micrel Semiconductor]
MCT7815BD2T MCT7815BT MCT7815CD2T MCT7815CT MCT781 From old datasheet system
Search --To MCT7824CT
THREE-TERMINAL POSITIVE FIXED VOLTAGE REGULATORS 5 V FIXED POSITIVE REGULATOR, PSSO2
THREE-TERMINAL POSITIVE FIXED VOLTAGE REGULATORS 8 V FIXED POSITIVE REGULATOR, PSFM3
THREE-TERMINAL POSITIVE FIXED VOLTAGE REGULATORS 9 V FIXED POSITIVE REGULATOR, PSFM3
MOTOROLA[Motorola, Inc]
MOTOROLA[Motorola Inc]
ON Semiconductor
Motorola Mobility Holdings, Inc.
L4931CZ25 L4931CV12 L4931CV120 L4931CV15 L4931CV25 5.2 V FIXED POSITIVE LDO REGULATOR, 0.8 V DROPOUT, PSFM3
VERY LOW DROP VOLTAGE REGULATOR WITH INHIBIT
GT 25C 25#16 SKT RECP WALL RM 极低降稳压器与抑制研
VERY LOW DROP VOLTAGE REGULATORS WITH INHIBIT 极低降稳压器与抑制研
8 V FIXED POSITIVE LDO REGULATOR, 0.8 V DROPOUT, PBCY3
12 V FIXED POSITIVE LDO REGULATOR, 0.8 V DROPOUT, PDSO8
4 V FIXED POSITIVE LDO REGULATOR, 0.8 V DROPOUT, PDSO8
4.7 V FIXED POSITIVE LDO REGULATOR, 0.8 V DROPOUT, PDSO8
4.5 V FIXED POSITIVE LDO REGULATOR, 0.8 V DROPOUT, PDSO8
??????浣?
ST Microelectronics
STMICROELECTRONICS[STMicroelectronics]
http://
意法半导
STMicroelectronics N.V.
FAN2503S30X FAN2503S33X FAN2502 FAN2502S25X FAN250 Low-dropout Voltage Regulator 2.8 V FIXED POSITIVE LDO REGULATOR, 0.18 V DROPOUT, PDSO5
150 mA CMOS LDO Regulators 2.6 V FIXED POSITIVE LDO REGULATOR, 0.18 V DROPOUT, PDSO5
PLUG.PCB TERMINAL 8213 B /2 OB RoHS Compliant: Yes 1.32 V-6.68 V ADJUSTABLE POSITIVE LDO REGULATOR, 0.18 V DROPOUT, PDSO5
2.7 V FIXED POSITIVE LDO REGULATOR, 0.18 V DROPOUT, PDSO5
http://
FAIRCHILD[Fairchild Semiconductor]
Fairchild Semiconductor, Corp.
FAIRCHILD SEMICONDUCTOR CORP
SPX1117M3-2-5 SPX1117M3-2-5_TR SPX1117M3-2-85 SPX1 3 V FIXED POSITIVE LDO REGULATOR, 1.2 V DROPOUT, PSSO3
1.5 V FIXED POSITIVE LDO REGULATOR, 1.2 V DROPOUT, PSSO2
2.5 V FIXED POSITIVE LDO REGULATOR, 1.2 V DROPOUT, PSSO2
1.5 V FIXED POSITIVE LDO REGULATOR, 1.2 V DROPOUT, PSSO3
2.5 V FIXED POSITIVE LDO REGULATOR, 1.2 V DROPOUT, PSFM3
3.3 V FIXED POSITIVE LDO REGULATOR, 1.2 V DROPOUT, PSFM3
1.5 V FIXED POSITIVE LDO REGULATOR, 1.2 V DROPOUT, PSFM3
2.5 V FIXED POSITIVE LDO REGULATOR, 1.2 V DROPOUT, PDSO4
800mA Low Dropout Voltage Regulator
EXAR CORP
SIPEX[Sipex Corporation]
GS1117CT-3.3 GS1117CM-2.85 GS1117CE-2.85 VISHAYSEM 3.3 V FIXED POSITIVE LDO REGULATOR, 1.4 V DROPOUT, PSFM3
IC VREG 2.85 V FIXED POSITIVE LDO REGULATOR, 1.4 V DROPOUT, PSSO2, TO-252, DPAK-3, Fixed Positive Single Output LDO Regulator
IC VREG 5 V FIXED POSITIVE LDO REGULATOR, 1.4 V DROPOUT, PSSO2, TO-263AB, D2PAK-3, Fixed Positive Single Output LDO Regulator
VISHAY SEMICONDUCTORS
MCP1825 MCP1825-0802E_AB MCP1825-0802E_AT MCP1825- 0.8 V FIXED POSITIVE LDO REGULATOR, 0.35 V DROPOUT, PSFM3
3.3 V FIXED POSITIVE LDO REGULATOR, 0.35 V DROPOUT, PSFM5
2.5 V FIXED POSITIVE LDO REGULATOR, 0.35 V DROPOUT, PSFM5
1.2 V FIXED POSITIVE LDO REGULATOR, 0.35 V DROPOUT, PSSO5
500 mA, Low Voltage, Low Quiescent Current LDO Regulator
Microchip Technology
AP78L08YG-13 AP78L05YG-13 AP78L12YG-13 AP78LXXVL-A AP78LXX SERIES 3-TERMINAL POSITIVE
3-terminal positive regulators 5 V FIXED POSITIVE REGULATOR, PSSO3
8 V FIXED POSITIVE REGULATOR, PDSO8
Diodes Inc.
Diodes Incorporated
Diodes, Inc.
AP2125K-1.8TRG1 AP2125K-2.5TRE1 AP2125K-2.5TRG1 AP 300mA HIGH SPEED, EXTREMELY LOW NOISE CMOS LDO REGULATOR
1.8 V FIXED POSITIVE LDO REGULATOR, 0.36 V DROPOUT, PDSO5 ROHS COMPLIANT, SOT-23, 5 PIN
1.8 V FIXED POSITIVE LDO REGULATOR, 0.36 V DROPOUT, PDSO5 GREEN, SOT-23, 5 PIN
2.5 V FIXED POSITIVE LDO REGULATOR, 0.3 V DROPOUT, PDSO5 ROHS COMPLIANT, SOT-23, 5 PIN
2.5 V FIXED POSITIVE LDO REGULATOR, 0.3 V DROPOUT, PDSO5 GREEN, SOT-23, 5 PIN
2.8 V FIXED POSITIVE LDO REGULATOR, 0.3 V DROPOUT, PDSO5 ROHS COMPLIANT, SOT-23, 5 PIN
3.3 V FIXED POSITIVE LDO REGULATOR, 0.3 V DROPOUT, PDSO5 ROHS COMPLIANT, SOT-23, 5 PIN
3.3 V FIXED POSITIVE LDO REGULATOR, 0.3 V DROPOUT, PDSO5 GREEN, SOT-23, 5 PIN
4.15 V FIXED POSITIVE LDO REGULATOR, 0.3 V DROPOUT, PDSO5 GREEN, SOT-23, 5 PIN
4.2 V FIXED POSITIVE LDO REGULATOR, 0.3 V DROPOUT, PDSO5 ROHS COMPLIANT, SOT-23, 5 PIN
4.2 V FIXED POSITIVE LDO REGULATOR, 0.3 V DROPOUT, PDSO5 GREEN, SOT-23, 5 PIN
1.8 V FIXED POSITIVE LDO REGULATOR, 0.36 V DROPOUT, PDSO4 GREEN, SC-82, 4 PIN
2.5 V FIXED POSITIVE LDO REGULATOR, 0.3 V DROPOUT, PDSO4 ROHS COMPLIANT, SC-82, 4 PIN
2.5 V FIXED POSITIVE LDO REGULATOR, 0.3 V DROPOUT, PDSO4 GREEN, SC-82, 4 PIN
2.8 V FIXED POSITIVE LDO REGULATOR, 0.3 V DROPOUT, PDSO4 ROHS COMPLIANT, SC-82, 4 PIN
3 V FIXED POSITIVE LDO REGULATOR, 0.3 V DROPOUT, PDSO4 ROHS COMPLIANT, SC-82, 4 PIN
1.8 V FIXED POSITIVE LDO REGULATOR, 0.36 V DROPOUT, PDSO4 ROHS COMPLIANT, SC-82, 4 PIN
1.8 V FIXED POSITIVE LDO REGULATOR, 0.36 V DROPOUT, PDSO3
BCD Semiconductor Manufacturing Limited
BCD Semiconductor Manufacturing, Ltd.
BCD SEMICONDUCTOR MANUFACTURING LTD
 
 Related keyword From Full Text Search System
L129 资料网站 L129 использование L129 电子元件中文资料网站 L129 nec L129 Terminal
L129 differential L129 philips L129 Octal L129 Emitter L129 pin
 

 

Price & Availability of L129

All Rights Reserved © IC-ON-LINE 2003 - 2022  

[Add Bookmark] [Contact Us] [Link exchange] [Privacy policy]
Mirror Sites :  [www.datasheet.hk]   [www.maxim4u.com]  [www.ic-on-line.cn] [www.ic-on-line.com] [www.ic-on-line.net] [www.alldatasheet.com.cn] [www.gdcy.com]  [www.gdcy.net]


 . . . . .
  We use cookies to deliver the best possible web experience and assist with our advertising efforts. By continuing to use this site, you consent to the use of cookies. For more information on cookies, please take a look at our Privacy Policy. X
0.36354613304138