Part Number Hot Search : 
AAMDB 00AB268R ESG457 ST103SP 2SK98207 BDT85F VN120 TS555CP
Product Description
Full Text Search

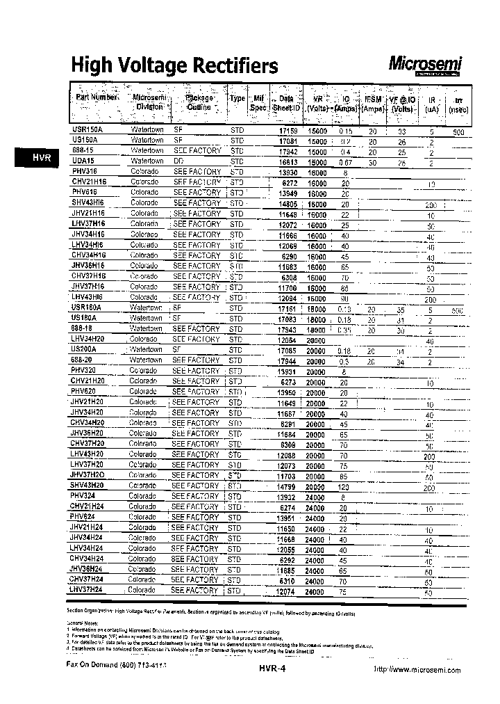
JHV37H2O - High Voltage Rectifier; Package: SEE_FACTORY; IO (A): 85; Vrwm (V): 20000; IR (µA): 50; 85 A, SILICON, RECTIFIER DIODE High Voltage Rectifier; Package: SEE_FACTORY; IO (A): 15; IFSM (A): 400; Vrwm (V): 16000; IR (µA): 5000; 20 A, SILICON, RECTIFIER DIODE

JHV37H2O_5042599.PDF Datasheet


 Full text search : High Voltage Rectifier; Package: SEE_FACTORY; IO (A): 85; Vrwm (V): 20000; IR (µA): 50; 85 A, SILICON, RECTIFIER DIODE High Voltage Rectifier; Package: SEE_FACTORY; IO (A): 15; IFSM (A): 400; Vrwm (V): 16000; IR (µA): 5000; 20 A, SILICON, RECTIFIER DIODE
 Product Description search : High Voltage Rectifier; Package: SEE_FACTORY; IO (A): 85; Vrwm (V): 20000; IR (µA): 50; 85 A, SILICON, RECTIFIER DIODE High Voltage Rectifier; Package: SEE_FACTORY; IO (A): 15; IFSM (A): 400; Vrwm (V): 16000; IR (µA): 5000; 20 A, SILICON, RECTIFIER DIODE


 Related Part Number
PART Description Maker
GI751 GI756 GI750 GI752 GI758 GI754 Aluminum Electrolytic Radial Lead Extremely Low Impedance Capacitor; Capacitance: 470uF; Voltage: 63V; Case Size: 12.5x25 mm; Packaging: Bulk
High Voltage Plastic Rectifier(高压塑胶整流
HIGH CURRENT PLASTIC RECTIFIER
GE Security, Inc.
GE[General Semiconductor]
SDHD7.5K SDHP7.5K SDHP15K SDHD15K SDHN7.5K STANDARD RECOVERY HIGH VOLTAGE DOUBLER AND CENTER TAPS
High Density,High Voltage,Standard Recovery Doubler Rectifier(反向电压7500V,温5℃时平均整流电流0.4A,高密高电标准恢复倍增整流
High Density,High Voltage,Standard Recovery Center Tap Rectifier(反向电压7500V,温5℃时平均整流电流0.8A,高密高电标准恢复正中心抽头整流器)
High Density,High Voltage,Standard Recovery Center Tap Rectifier(反向电压7500V,温25℃时平均整流电流0.8A,高密高电标准恢复正中心抽头整流器)
0.8 A, 7500 V, 2 ELEMENT, SILICON, SIGNAL DIODE
High Density,High Voltage,Standard Recovery Doubler Rectifier(反向电压15000V,温25℃时平均整流电流0.4A,高密高电标准恢复倍增整流 高密度,高电压,标准恢复倍流整流(反向电5000V,温25℃时平均整流电流0.4A,高密度,高电压,标准恢复倍增整流器)
Semtech Corporation
Semtech, Corp.
HVR-1X-40B SHV-20 SHV-16 UX-F0B SHV-02 SHV-03 SHV- 9kV,High-Voltage Rectifier Diodes(9kV,高压整流二极 0.35 A, SILICON, SIGNAL DIODE
High-Voltage Rectifier Diodes 0.002 A, 4.5 V, SILICON, SIGNAL DIODE
Ultra low profile, Two-piece, Discrete wire, FPC, and fine coaxial cable connectors; HRS No: 685-0018-5 05; No. of Positions: 14; Operating Temperature Range (degrees C): -35 to 85; General Description: Accessory; Ground plate for FPC type
   High-Voltage Rectifier Diodes
Sanken Electric Co., Ltd.
Sanken Electric Co.,Ltd.
SANKEN[Sanken electric]
http://
F15 F25 F20 F30 Axialleaded Hermetically Sealed High Voltage Fast Rectifier Diode(????靛?2000V锛?钩??????娴?50mA锛?酱??????瀵?????楂??蹇???㈠??存?浜??绠々
Fast Recovery Axial Rectifier1500 V-3000 VIo=0.35 A
RECTIFIER, up to 3kV, 350mA, 250ns
Axialleaded Hermetically Sealed High Voltage Fast Rectifier Diode(反向电压2000V,平均正向电50mA,轴向引脚,密封型,高压快速恢复整流二极管)
Axialleaded Hermetically Sealed High Voltage Fast Rectifier Diode(反向电压2500V,平均正向电50mA,轴向引脚,密封型,高压快速恢复整流二极管)
Axialleaded Hermetically Sealed High Voltage Fast Rectifier Diode(反向电压3000V,平均正向电50mA,轴向引脚,密封型,高压快速恢复整流二极管)
Axialleaded Hermetically Sealed High Voltage Fast Rectifier Diode(反向电压1500V,平均正向电50mA,轴向引脚,密封型,高压快速恢复整流二极管)
Fast Recovery Axial Rectifier.1500 V-3000 V.Io=0.35 A 快速恢复轴向Rectifier.1500 V000五,木卫一\u003d 0.35
Semtech Corporation
Microsemi, Corp.
JHV2180 JHV21 JHV2112 JHV2116 JHV2120 JHV2124 JHV2 High Voltage Rectifier; Package: SEE_FACTORY; IO (A): 22; IFSM (A): 250; Vrwm (V): 24000; IR (µA): 6000; SILICON, VOLTAGE MULTIPLIER DIODE
High Voltage Rectifier; Package: SEE_FACTORY; IO (A): 22; IFSM (A): 250; Vrwm (V): 64000; IR (µA): 6000; SILICON, VOLTAGE MULTIPLIER DIODE
High Voltage Rectifier; Package: SEE_FACTORY; IO (A): 22; IFSM (A): 250; Vrwm (V): 52000; IR (µA): 6000; SILICON, VOLTAGE MULTIPLIER DIODE
High Voltage Rectifier; Package: SEE_FACTORY; IO (A): 22; IFSM (A): 250; Vrwm (V): 28000; IR (µA): 6000; SILICON, VOLTAGE MULTIPLIER DIODE
High Voltage Rectifier; Package: SEE_FACTORY; IO (A): 22; IFSM (A): 250; Vrwm (V): 76000; IR (µA): 6000; SILICON, VOLTAGE MULTIPLIER DIODE
High Voltage Rectifier; Package: SEE_FACTORY; IO (A): 22; IFSM (A): 250; Vrwm (V): 68000; IR (µA): 6000; SILICON, VOLTAGE MULTIPLIER DIODE
HIGH VOLTAGE RECTIFIER ASSEMBLY
Microsemi, Corp.
MICROSEMI[Microsemi Corporation]
S2HVS7.5 S2HVS2.5 S2HVS5 High Voltage,High Density, Standard Recovery Rectifier Assembly(反向电压7500V,高压,高密度,标准恢复整流器部
STANDARD RECOVERY HIGH VOLTAGE RECTIFIER ASSEMBLY
Semtech Corporation
UX-C2B HVR-1X-40B SHV-02 SHV-03 SHV-03S SHV-06NK S    High-Voltage Rectifier Diodes
High-Voltage Rectifier Diodes 0.35 A, 8 V, SILICON, SIGNAL DIODE
High-Voltage Rectifier Diodes 0.002 A, 4.5 V, SILICON, SIGNAL DIODE
High-Voltage Rectifier Diodes 0.002 A, 12000 V, SILICON, SIGNAL DIODE
High-Voltage Rectifier Diodes 0.002 A, 6000 V, SILICON, SIGNAL DIODE
High-Voltage Rectifier Diodes 0.002 A, 8000 V, SILICON, SIGNAL DIODE
High-Voltage Rectifier Diodes 0.002 A, SILICON, SIGNAL DIODE
Sanken Electric Co., Ltd.
SANKEN[Sanken electric]
Sanken Electric Co.,Ltd.
MSARS200S20LP MSARS200S20LRP HIGH CURRENT CAPABILITY & LOW VOLTAGE DROP STANDARD RECOVERY RECTIFIER 200 A, 200 V, SILICON, RECTIFIER DIODE
HIGH CURRENT CAPABILITY & LOW VOLTAGE DROP STANDARD RECOVERY RECTIFIER
Standard Rectifier (trr more than 500ns)
Microsemi, Corp.
MICROSEMI[Microsemi Corporation]
MBR1060CT-G1 MBR1060CTF-G1 MBR1060CTF-E1 MBR1060CT HIGH VOLTAGE POWER SCHOTTKY RECTIFIER
5 A, 60 V, SILICON, RECTIFIER DIODE, TO-220AB
BCD Semiconductor Manufacturing Limited
BCD SEMICONDUCTOR MANUFACTURING LTD
BCD Semiconductor Manuf...
STPS8H100 STPS8H100G 8 A, 100 V, SILICON, RECTIFIER DIODE
High voltage power Schottky rectifier
STMicroelectronics
B1100LB-13-F 1.0A HIGH VOLTAGE SCHOTTKY BARRIER RECTIFIER 2 A, 100 V, SILICON, RECTIFIER DIODE
Diodes Inc.
Diodes, Inc.
 
 Related keyword From Full Text Search System
JHV37H2O Interface JHV37H2O Manufacturer JHV37H2O Rail JHV37H2O Command JHV37H2O IC DATA SHET
JHV37H2O processor JHV37H2O Package JHV37H2O price JHV37H2O temperature JHV37H2O datasheet online
 

 

Price & Availability of JHV37H2O

All Rights Reserved © IC-ON-LINE 2003 - 2022  

[Add Bookmark] [Contact Us] [Link exchange] [Privacy policy]
Mirror Sites :  [www.datasheet.hk]   [www.maxim4u.com]  [www.ic-on-line.cn] [www.ic-on-line.com] [www.ic-on-line.net] [www.alldatasheet.com.cn] [www.gdcy.com]  [www.gdcy.net]


 . . . . .
  We use cookies to deliver the best possible web experience and assist with our advertising efforts. By continuing to use this site, you consent to the use of cookies. For more information on cookies, please take a look at our Privacy Policy. X
0.75035309791565