Part Number Hot Search : 
STA538 TDA74 TK350 C1001 74917 74F138 LA4533M 20512
Product Description
Full Text Search

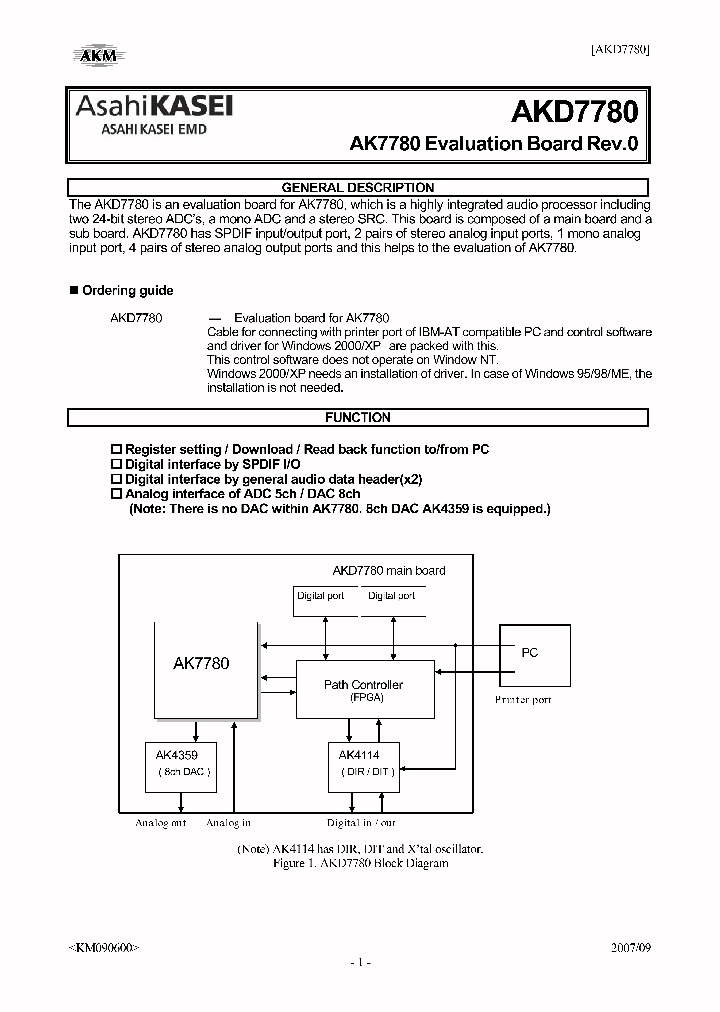
AKD7780 - 24-bit stereo ADC’s, a mono ADC and a stereo SRC.

AKD7780_4318444.PDF Datasheet


 Full text search : 24-bit stereo ADC’s, a mono ADC and a stereo SRC.
 Product Description search : 24-bit stereo ADC’s, a mono ADC and a stereo SRC.


 Related Part Number
PART Description Maker
MAX114-MAX118 MAX118 MAX118CAI MAX118CPI MAX118EAI 5V, 1Msps, 4 & 8-Channel, 8-Bit ADCs with 1レA Power-Down
5V 1Msps 4 & 8-Channel 8-Bit ADCs with 1A Power-Down
5V, 1Msps, 4 & 8-Channel, 8-Bit ADCs with 1A Power-Down
5V, 1Msps, 4 & 8-Channel, 8-Bit ADCs with 1μA Power-Down
6 OUTLETS 15 FT RACK MTG
5V / 1Msps / 4 & 8-Channel / 8-Bit ADCs with 1A Power-Down
Low-Voltage Adjustable Precision Shunt Regulator 3-SOT-23 0 to 70
5V, 1Msps, 4 & 8-Channel, 8-Bit ADCs with 1レA Power-Down 8-CH 8-BIT FLASH METHOD ADC, PARALLEL ACCESS, PDIP28
MAXIM - Dallas Semiconductor
MAXIM[Maxim Integrated Products]
Maxim Integrated Products, Inc.
ADC
Vicor, Corp.
EVAL-CONTROLBRD24 AD7475 AD7475AR AD7475ARM AD7475 1MSPS, 12-Bit ADCs in µSO-8
1MSPS, 12-Bit ADCs in SO-8
1 MSPS/ 12-Bit ADCs
1 MSPS, 12-Bit ADCs 1-CH 12-BIT SUCCESSIVE APPROXIMATION ADC, SERIAL ACCESS, PDSO8
AD[Analog Devices]
Analog Devices, Inc.
MAX166 MAX166ACPP MAX166ACWP MAX166AEPP MAX166AEWP    CMOS μP-Compatible, 5μs, 8-Bit ADCs
CMOS microprocessor-compatible, 5 microsec, 8-bit ADC. Error -1 LSB. Plug-in upgrade to the MX7575.
CMOS レP-Compatible, 5レs, 8-Bit ADCs 1-CH 8-BIT SUCCESSIVE APPROXIMATION ADC, PARALLEL ACCESS, CDIP18
CMOS レP-Compatible, 5レs, 8-Bit ADCs 1-CH 8-BIT SUCCESSIVE APPROXIMATION ADC, PARALLEL ACCESS, PDSO20
CMOS レP-Compatible, 5レs, 8-Bit ADCs 1-CH 8-BIT SUCCESSIVE APPROXIMATION ADC, PARALLEL ACCESS, PDIP20
CMOS P-Compatible, 5レs, 8-Bit ADCs
CMOS P-Compatible / 5s / 8-Bit ADCs
CMOS ??-Compatible, 5??, 8-Bit ADCs
CMOS P-Compatible 5s 8-Bit ADCs
CMOS P-Compatible, 5s, 8-Bit ADCs
Maxim Integrated Produc...
Maxim Integrated Products, Inc.
MAXIM[Maxim Integrated Products]
MAXIM - Dallas Semiconductor
258819 258823 258829 258831 258809 258808 258828 2 150ksps, 12-Bit, 2-Channel Single-Ended, and 1-Channel True-Differential ADCs
250ksps, 3V, 8-/4-Channel, 12-Bit ADCs with 2.5V Reference and Parallel Interface
SIGN-FIRE EXTIGUISHER WATER
300ksps/400ksps, Single-Supply, 4-Channel, Serial 12-Bit ADCs with Internal Reference
MAX1280 Evaluation Kit/Evaluation System
MAX1284 Evaluation Kit/Evaluation System 标志火灭焰器干战
1.8Msps, Single-Supply, Low-Power, True-Differential, 12-Bit ADCs 标志火灭焰器
TE Connectivity, Ltd.
Maxim Integrated Products, Inc.
MAX1027-MAX1031 MAX1029AEEP-T MAX1027AEEE-T MAX102 10-Bit 300ksps ADCs with FIFO, Temp Sensor, Internal Reference
-10-Bit 300ksps ADCs with FIFO,Temp Sensor, Internal Reference
10-Bit 300ksps ADCs with FIFO. Temp Sensor. Internal Reference 10位300ksps ADC,带有FIFO、温度传感器及内置基
10-Bit 300ksps ADCs with FIFO,Temp Sensor, Internal Reference 1000ksps速率ADC的带有FIFO,温度传感器,内部参
10-Bit 300ksps ADCs with FIFO,Temp Sensor, Internal Reference 8-CH 10-BIT SUCCESSIVE APPROXIMATION ADC, SERIAL ACCESS, PDSO16
MAXIM - Dallas Semiconductor
Maxim Integrated Products, Inc.
MAX1203BC/D MAX1202BC/D MAX1202AEPP MAX1202BCAP 5v, 8-cHANNEL, sERIAL, 12-bIT adcS WITH 3v dIGITAL iNTERFACE 8-CH 12-BIT SUCCESSIVE APPROXIMATION ADC, SERIAL ACCESS, PDSO20
Scan Test Devices With 18-Bit Bus Transceivers 56-SSOP -40 to 85
DIODE VOLTAGE SUPPRESSOR 170V
5v / 8-cHANNEL / sERIAL / 12-bIT adcS WITH 3v dIGITAL iNTERFACE
Maxim Integrated Products, Inc.
ADA7555 Stereo / Mono Distribution Amplifier
List of Unclassifed Man...
etc
2510A-032 2510A-031 2510A-030 2516A-030 2516A-032 50ppm/°C Precision Micropower Shunt Voltage References with Multiple Reverse Breakdown Voltages
FIBER OPTIC RECEIVER
250Msps, 8-Bit ADC with Track/Hold
Low-Power, 90Msps, 6-Bit ADC
10-Bit 300ksps ADCs with FIFO, Temp Sensor, Internal Reference 光纤接收
8-/4-Channel, ±12V Multirange Inputs, Serial 14-Bit ADCs 光纤接收
Coilcraft, Inc.
MS6821 MS6821G MS6821TGTR MS6821TGU 4 Stereo Inputs, 2W BTL Stereo Output 16-bit Stereo DAC and Volume Control
MOSA ELECTRONICS
SSM2250-15 Mono 1.5 W/Stereo 250 mW Power Amplifier
Analog Devices
KKA7050 LOW VOLTAGE MONO/STEREO POWER AMPLIFIER
KODENSHI KOREA CORP.
 
 Related keyword From Full Text Search System
AKD7780 替换表 AKD7780 battery charger circuit AKD7780 Precision AKD7780 heatsink AKD7780 gate
AKD7780 international AKD7780 performance AKD7780 Circuit AKD7780 Single AKD7780 bus switch
 

 

Price & Availability of AKD7780

All Rights Reserved © IC-ON-LINE 2003 - 2022  

[Add Bookmark] [Contact Us] [Link exchange] [Privacy policy]
Mirror Sites :  [www.datasheet.hk]   [www.maxim4u.com]  [www.ic-on-line.cn] [www.ic-on-line.com] [www.ic-on-line.net] [www.alldatasheet.com.cn] [www.gdcy.com]  [www.gdcy.net]


 . . . . .
  We use cookies to deliver the best possible web experience and assist with our advertising efforts. By continuing to use this site, you consent to the use of cookies. For more information on cookies, please take a look at our Privacy Policy. X
0.57678389549255