Part Number Hot Search : 
EM5060 6200M LA7391A 1067183 MD2218 S2000 RN1103F GBP1502
Product Description
Full Text Search

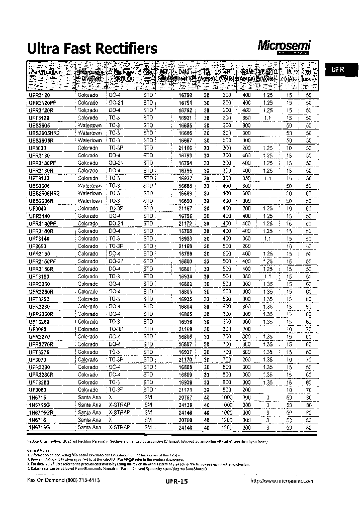
UES2605R - 30 A, SILICON, RECTIFIER DIODE, TO-3 TO-3, 2 PIN

UES2605R_3771766.PDF Datasheet


 Full text search : 30 A, SILICON, RECTIFIER DIODE, TO-3 TO-3, 2 PIN
 Product Description search : 30 A, SILICON, RECTIFIER DIODE, TO-3 TO-3, 2 PIN


 Related Part Number
PART Description Maker
IR180DR-G06PBF IR150DR-G08PBF IR150DR-G04PBF IR180 25 A, 600 V, SILICON, RECTIFIER DIODE
16 A, 800 V, SILICON, RECTIFIER DIODE
16 A, 400 V, SILICON, RECTIFIER DIODE
25 A, 200 V, SILICON, RECTIFIER DIODE
25 A, 1000 V, SILICON, RECTIFIER DIODE
16 A, 1200 V, SILICON, RECTIFIER DIODE
16 A, 100 V, SILICON, RECTIFIER DIODE
TT electronics Semelab, Ltd.
MDA920A6 MDA920A4 MDA920A7 MDA920A2 MDA920A5 MDA92 1.5 A, 400 V, SILICON, BRIDGE RECTIFIER DIODE
1.5 A, 200 V, SILICON, BRIDGE RECTIFIER DIODE
1.5 A, 600 V, SILICON, BRIDGE RECTIFIER DIODE
1.5 A, 50 V, SILICON, BRIDGE RECTIFIER DIODE
1.5 A, 300 V, SILICON, BRIDGE RECTIFIER DIODE
1.5 A, 25 V, SILICON, BRIDGE RECTIFIER DIODE
1.5 A, 100 V, SILICON, BRIDGE RECTIFIER DIODE
1.5 A, 1000 V, SILICON, BRIDGE RECTIFIER DIODE
1.5 A, 800 V, SILICON, BRIDGE RECTIFIER DIODE
Motorola Mobility Holdings, Inc.
IRKC61/20 IRKC61-20 IRKD270-22-NPBF IRKD270-24NPBF 60 A, 2000 V, SILICON, RECTIFIER DIODE
270 A, 2200 V, SILICON, RECTIFIER DIODE
270 A, 2400 V, SILICON, RECTIFIER DIODE
DIODE 320 A, 600 V, SILICON, RECTIFIER DIODE, POWER, MAGN-A-PAK-3, Rectifier Diode
VISHAY SEMICONDUCTORS
301U160 301URA240 301URA180 301URA120 301URA250P3 Low-Power, Single-/Dual-Level Battery Monitors with Hysteresis and Integrated µP Reset
1600V 330A Std. Recovery Diode in a DO-205AB (DO-9)package 1600V 330A性病。恢复二极管中的DO - 205AB(请 9)封
AVALANCE DIODE 330A ANODE STUD 雪崩二极30A阳极螺柱
300 A, 2500 V, SILICON, RECTIFIER DIODE, DO-205AB
DIODE 330 A, 1600 V, SILICON, RECTIFIER DIODE, DO-205AB, Rectifier Diode
DIODE 330 A, 2000 V, SILICON, RECTIFIER DIODE, DO-205AB, Rectifier Diode
Bourns, Inc.
International Rectifier, Corp.
Vishay Semiconductors
EFM301B EFM302B EFM303B EFM304B EFM305B EFM306B EF 3 A, 400 V, SILICON, RECTIFIER DIODE, DO-214AA
3 A, 50 V, SILICON, RECTIFIER DIODE, DO-214AA
SURFACE MOUNT GLASS PASSIVATED SUPER FAST SILICON RECTIFIER VOLTAGE RANGE 50 to 600 Volts CURRENT 3.0 Amperes
3 A, 150 V, SILICON, RECTIFIER DIODE, DO-214AA
RECTRON LTD
Rectron Semiconductor
F1827RD1200 F1842CAD1600 F1842CAD400 F1892CCD1200 25 A, 1200 V, SILICON, RECTIFIER DIODE MODULE-3
40 A, 1600 V, SILICON, RECTIFIER DIODE MODULE-3
Power Module 40 A, 400 V, SILICON, RECTIFIER DIODE
90 A, 1200 V, SILICON, RECTIFIER DIODE MODULE-3
90 A, 400 V, SILICON, RECTIFIER DIODE
90 A, 1000 V, SILICON, RECTIFIER DIODE
90 A, 1600 V, SILICON, RECTIFIER DIODE
40 A, 1400 V, SILICON, RECTIFIER DIODE
90 A, 1400 V, SILICON, RECTIFIER DIODE
55 A, 400 V, SILICON, RECTIFIER DIODE
40 A, 600 V, SILICON, RECTIFIER DIODE
25 A, 400 V, SILICON, RECTIFIER DIODE
25 A, 1000 V, SILICON, RECTIFIER DIODE
55 A, 1000 V, SILICON, RECTIFIER DIODE
Crydom, Inc.
CRYDOM CORP
MUR405 MUR40511 MUR420 MUR460 MUR4100 MUR440 MUR48 4 Amp Ultra Fast Recovery Rectifier 50 to 1000 Volts
4 A, 100 V, SILICON, RECTIFIER DIODE, DO-201AD
4 A, 400 V, SILICON, RECTIFIER DIODE, DO-201AD
4 A, 200 V, SILICON, RECTIFIER DIODE, DO-201AD
Micro Commercial Components
http://
CMSH3-20MA CMSH3-60MATR13 CMSH3-100MATR13 SURFACE MOUNT SCHOTTKY BARRIER SILICON RECTIFIER 3.0 AMP, 20 THRU 100 VOLTS 3 A, 20 V, SILICON, RECTIFIER DIODE
3 A, 60 V, SILICON, RECTIFIER DIODE
3 A, 100 V, SILICON, RECTIFIER DIODE
Central Semiconductor, Corp.
CENTRAL SEMICONDUCTOR CORP
1N3208SERIES 1N3214R 1N3208 1N3208R 1N3209 1N3209R DIODE 15 A, 200 V, SILICON, RECTIFIER DIODE, DO-203AB, DO-5, 1 PIN, Rectifier Diode
15 A, 50 V, SILICON, RECTIFIER DIODE, DO-203AB
15 Amp Stud-mounted Silicon Rectifier Diodes 15安培良种式硅整流二极
15 am stud-mounted SILICON RECTIFIER DIODES
DIODE 15 A, 100 V, SILICON, RECTIFIER DIODE, DO-203AB, DO-5, 1 PIN, Rectifier Diode
VISHAY INTERTECHNOLOGY INC
International Rectifier, Corp.
IRF[International Rectifier]
Vishay Semiconductors
FFM202L FFM201L FFM203L FFM204L 2 A, 400 V, SILICON, RECTIFIER DIODE
SURFACE MOUNT GLASS PASSIVATED FAST RECOVERY SILICON RECTIFIER VOLTAGE RANGE 50 to 1000 Volts CURRENT 2.0 Ampere
2 A, 200 V, SILICON, RECTIFIER DIODE
Rectron Semiconductor
RECTRON LTD
SBA160-04R-YB SBA120-18J-RA SBA120-18J-YA SBA100-0 8 A, 40 V, SILICON, RECTIFIER DIODE
6 A, 180 V, SILICON, RECTIFIER DIODE
5 A, 40 V, SILICON, RECTIFIER DIODE
15 A, 50 V, SILICON, RECTIFIER DIODE
15 A, 90 V, SILICON, RECTIFIER DIODE
4 A, 50 V, SILICON, RECTIFIER DIODE
1 A, 50 V, 2 ELEMENT, SILICON, SIGNAL DIODE
Bourns, Inc.
SANYO Semiconductor Co., Ltd.
 
 Related keyword From Full Text Search System
UES2605R siemens UES2605R ultra UES2605R interrupt UES2605R 资料网站 UES2605R external rom
UES2605R address UES2605R header UES2605R usb-hs otg UES2605R Diode UES2605R saw filter
 

 

Price & Availability of UES2605R

All Rights Reserved © IC-ON-LINE 2003 - 2022  

[Add Bookmark] [Contact Us] [Link exchange] [Privacy policy]
Mirror Sites :  [www.datasheet.hk]   [www.maxim4u.com]  [www.ic-on-line.cn] [www.ic-on-line.com] [www.ic-on-line.net] [www.alldatasheet.com.cn] [www.gdcy.com]  [www.gdcy.net]


 . . . . .
  We use cookies to deliver the best possible web experience and assist with our advertising efforts. By continuing to use this site, you consent to the use of cookies. For more information on cookies, please take a look at our Privacy Policy. X
0.077502965927124