Part Number Hot Search : 
02201518 74HC595D CXD2131Q RF1131 CL9P7HLL 4ACT24 TO501 2N2137A
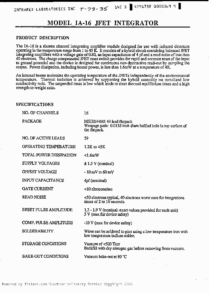
Product Description
Full Text Search

IA16 - Analog IC

IA16_1392532.PDF Datasheet

 
Part No. IA16
Description Analog IC

File Size 49.41K  /  1 Page  

Maker

N/A



JITONG TECHNOLOGY
(CHINA HK & SZ)
Datasheet.hk's Sponsor

Part: IA186ES-PQF100I-03
Maker: INNOVASI..
Pack: QFP
Stock: 366
Unit price for :
    50: $21.60
  100: $20.52
1000: $19.44

Email: oulindz@gmail.com

Contact us

Homepage
Download [ ]
[ IA16 Datasheet PDF Downlaod from Datasheet.HK ]
[IA16 Datasheet PDF Downlaod from Maxim4U.com ] :-)


[ View it Online ]   [ Search more for IA16 ]

[ Price & Availability of IA16 by FindChips.com ]

 Full text search : Analog IC
 Product Description search : Analog IC


 Related Part Number
PART Description Maker
MAX4622CPE MAX4622CSE MAX4622EPE MAX4622ESE MAX462 Dual, 5?Analog Switches
Dual / 5 Analog Switches
Dual.5<img src=http://dbserv.maxim-ic.com/images/ohm.gif width=12 height=9 Analog Switches
Dual, 5 Analog Switches
Dual 5 Analog Switches
Dual, 5з Analog Switches
Maxim Integrated Products, Inc.
Maixm
MAXIM[Maxim Integrated Products]
MAXIM - Dallas Semiconductor
MAX4605 MAX4606 MAX4605CSE MAX4605CPE MAX4605ESE M 5<img src=http://dbserv.maxim-ic.com/images/ohm.gif width=12 height=9.Quad.SPST.CMOS Analog Switches 5Ω、四路、SPST、CMOS模拟开
5з, Quad, SPST, CMOS Analog Switches
5ohm, Quad, SPST, CMOS Analog Switches
5?, Quad, SPST, CMOS Analog Switches
5, Quad, SPST, CMOS Analog Switches
5 / Quad / SPST / CMOS Analog Switches
Maxim Integrated Products, Inc.
MAXIM[Maxim Integrated Products]
Maixm
MAXIM - Dallas Semiconductor
MAX312 MAX312CUE MAX312ESE MAX312CSE MAX314MJE MAX CLAMP
10 / Quad / SPST / CMOS Analog Switches
10 Quad SPST CMOS Analog Switches
10, Quad, SPST, CMOS Analog Switches
10? Quad, SPST, CMOS Analog Switches
8 PORT MODEM SHARING DEVICE SC
CABLE, COAX, 9248, PER M; Impedance:75R; Conductor make-up:1/1.02mm; Diameter, External:6.86mm; Material, conductor:Copper; Material, primary insulation:Polyethylene; Coaxial cable type:RG6A/U; Alpha type number:9804C EQUIVALENT; RoHS Compliant: Yes
10з, Quad, SPST, CMOS Analog Switches QUAD 1-CHANNEL, SGL POLE SGL THROW SWITCH, PDSO16
10蟹, Quad, SPST, CMOS Analog Switches
MAXIM - Dallas Semiconductor
MAXIM[Maxim Integrated Products]
Maxim Integrated Products, Inc.
MAXIM INTEGRATED PRODUCTS INC
CS5012-KP12 CS5014-SE14 CS5014-KP28 CS5014-KL28 CS Analog-to-Digital Converter12-Bit
Analog-to-Digital Converter??? 12-Bit
Analog-to-Digital Converter14-Bit 模拟到数字转换器4
Analog-to-Digital Converter锛?14-Bit
Advanced Semiconductor, Inc.
DG3535 DG3535DB-T5-E1 DG3535DB-T1-E1 DG3536 DG3536 Analog switches and multiplexers
0.25-OHM Low-Voltage Dual SPDT Analog Switch
Vishay Siliconix
MCP3901 MCP390111 MCP3901A1-I/ML Two-Channel Analog Front End Portable Instrumentation
SPECIALTY ANALOG CIRCUIT, PQCC20
Microchip Technology
MMC4051 MMC4053 MMC4052 Triple 2-channel analog multiplexer/demultiplexer
Differential 4-channel analog multiplexer/demultiplexer
ANALOG MULTIPLEXERS DEMULTIPLEXERS
Single 8-channel analog multiplexer/demultiplexer
Micro Electronics
Microelectronica
HS-1840RH883S Rad-Hard 16 Channel CMOS Analog Multiplexer with High-Z Analog Input Protection 抗辐6通道CMOS模拟多路复用器与模拟输入保护
Intersil, Corp.
AD7868 AD7868BR AD7868BQ Complete 12-bit I/O System Containing a DAC And an ADC(完备2位I\O系统(包含一个A/D转换器和一个D/A转换器))
LC2MOS Complete, 12-Bit Analog I/O System SPECIALTY ANALOG CIRCUIT, PDSO28
LC2MOS Complete, 12-Bit Analog I/O System SPECIALTY ANALOG CIRCUIT, CDIP24
Analog Devices, Inc.
UPC5702GR-XXX-8JG UPC5701GR-PJG UPC5703GA-2E5 UPC5 Analog semi-custom LSI (analog master 2)
NEC
ICL8013 ICL8013BCTX ICL8013CCTX FN2863 1MHz, Four Quadrant Analog Multiplier ANALOG MULTIPLIER OR DIVIDER, 1 MHz BAND WIDTH, MBCY10
1MHz Four Quadrant Analog Multiplier
From old datasheet system
Intersil, Corp.
INTERSIL[Intersil Corporation]
 
 Related keyword From Full Text Search System
IA16 Processor IA16 corp IA16 purpose IA16 reference voltage IA16 advantech pdf
IA16 products IA16 specification IA16 purpose IA16 memory IA16 controller
 

 

Price & Availability of IA16

All Rights Reserved © IC-ON-LINE 2003 - 2022  

[Add Bookmark] [Contact Us] [Link exchange] [Privacy policy]
Mirror Sites :  [www.datasheet.hk]   [www.maxim4u.com]  [www.ic-on-line.cn] [www.ic-on-line.com] [www.ic-on-line.net] [www.alldatasheet.com.cn] [www.gdcy.com]  [www.gdcy.net]


 . . . . .
  We use cookies to deliver the best possible web experience and assist with our advertising efforts. By continuing to use this site, you consent to the use of cookies. For more information on cookies, please take a look at our Privacy Policy. X
0.11720991134644