Part Number Hot Search : 
S14070G TVR20301 DG9434DS DIAGRAM L8020M KT1000 HVC20R BAW567
Product Description
Full Text Search

170M5442 - Fuse 保险

170M5442_752090.PDF Datasheet

 
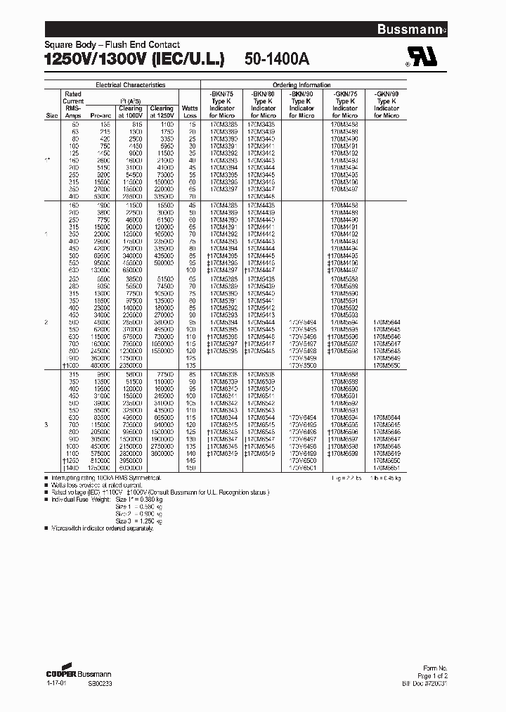
Part No. 170M5442 170M3392 170M3393 170M4395 170M5438 170M6548 170M6345 170M6344 170M6343 170M6341 170M6342 170M6340 170M5494 170M6591 170M4497 170M4393 170M6593 170M6597 170M4397 170M6599 170M3388 170M4391 170M3391 170M6545 170M6546 170M6541 170M6501 170M6547 170M6592 170M6544 170M6542
Description Fuse 保险

File Size 39.86K  /  2 Page  

Maker

Tektronix, Inc.
TE Connectivity, Ltd.
Unisonic Technologies Co., Ltd.



Homepage
Download [ ]
[ 170M5442 170M3392 170M3393 170M4395 170M5438 170M6548 170M6345 170M6344 170M6343 170M6341 170M6342 1 Datasheet PDF Downlaod from Datasheet.HK ]
[170M5442 170M3392 170M3393 170M4395 170M5438 170M6548 170M6345 170M6344 170M6343 170M6341 170M6342 1 Datasheet PDF Downlaod from Maxim4U.com ] :-)


[ View it Online ]   [ Search more for 170M5442 ]

[ Price & Availability of 170M5442 by FindChips.com ]

 Full text search : Fuse 保险
 Product Description search : Fuse 保险


 Related Part Number
PART Description Maker
FRT250T 7100.1125.XX 7100.1017.XX 7100.1117.XX 710 TIME LAG BLOW ELECTRIC FUSE, 0.5A, 250VAC, 250VDC, 35A (IR), THROUGH HOLE
Subminiature Fuse, 11.5 x 5 mm, Tr?e T
Subminiature Fuse, 11.5 x 5 mm, Tr庐e T
Subminiature Fuse, 11.5 x 5 mm, Tr盲ge T
Schurter Inc.
PCC-2 PC Board Fuse; Current Rating:3A; Voltage Rating:250V; Fuse Terminals:Radial Lead; Leaded Process Compatible:No; Body Material:Plastic; Diameter:8.12mm; Fuse Size/Group:8.89 x 8.12 mm; Fuse Type:Fast Acting; Length:8.89mm
COOPER INDUSTRIES
FNQ-4 Cartridge Fuse; Current Rating:4A; Voltage Rating:500V; Fuse Type:Time Delay; Fuse Size/Group:13/32 x 1-1/2 "; Body Material:Fiber; Diameter:0.406mm; Fuse Terminals:Ferrule; Length:38.1mm; Series:FNQ RoHS Compliant: Yes
COOPER INDUSTRIES
215200 215025 217040 217040P 215800 215400 215250 5 x 20 mm Time Lag Fuse (Slo-Blo Fuse)
5 x 20 mm Fast-Acting Fuse
LITTELFUSE[Littelfuse]
ST72T331N2T3 ST72T331N4T6 Leaded Cartridge Fuse; Current Rating:1.5A; Voltage Rating:250V; Fuse Terminals:Axial Lead; Fuse Type:Time Delay; Body Material:Glass; Diameter:4.5mm; Fuse Size/Group:5 x 15 mm; Leaded Process Compatible:No; Length:14.48mm 8位微控制
STMicroelectronics N.V.
Z8681AB1YN Leaded Cartridge Fuse; Current Rating:2A; Voltage Rating:250V; Fuse Terminals:Axial Lead; Fuse Type:Fast Acting; Voltage Rating:250V; Body Material:Ceramic; Diameter:6.985mm; Fuse Size/Group:1/4 x 1-1/4 " RoHS Compliant: Yes 8位微控制
东电?中国)投资有限公司
KLPC3500 KLPC6000 KLPC650 KLPC700 KLPC5000 KLPC100 KLPC series POWR-PRO class L fuse. Time-delay. 3500A, 600VAC, 480VDC.
KLPC series POWR-PRO class L fuse. Time-delay. 350A, 600VAC, 480VDC.
KLPC series POWR-PRO class L fuse. Time-delay. 6000A, 600VAC, 480VDC.
KLPC series POWR-PRO class L fuse. Time-delay. 650A, 600VAC, 480VDC.
KLPC series POWR-PRO class L fuse. Time-delay. 700A, 600VAC, 480VDC.
KLPC series POWR-PRO class L fuse. Time-delay. 5000A, 600VAC, 480VDC.
KLPC series POWR-PRO class L fuse. Time-delay. 1000A, 600VAC, 480VDC.
KLPC series POWR-PRO class L fuse. Time-delay. 1200A, 600VAC, 480VDC.
KLPC series POWR-PRO class L fuse. Time-delay. 1100A, 600VAC, 480VDC.
KLPC series POWR-PRO class L fuse. Time-delay. 1300A, 600VAC, 480VDC.
KLPC series POWR-PRO class L fuse. Time-delay. 1350A, 600VAC, 480VDC.
KLPC series POWR-PRO class L fuse. Time-delay. 1400A, 600VAC, 480VDC.
KLPC series POWR-PRO class L fuse. Time-delay. 1500A, 600VAC, 480VDC.
KLPC series POWR-PRO class L fuse. Time-delay. 1800A, 600VAC, 480VDC.
KLPC series POWR-PRO class L fuse. Time-delay. 1600A, 600VAC, 480VDC.
KLPC series POWR-PRO class L fuse. Time-delay. 1900A, 600VAC, 480VDC.
KLPC series POWR-PRO class L fuse. Time-delay. 200A, 600VAC, 480VDC.
KLPC series POWR-PRO class L fuse. Time-delay. 2000A, 600VAC, 480VDC.
KLPC series POWR-PRO class L fuse. Time-delay. 900A, 600VAC, 480VDC.
Littelfuse
STD4NA40 STD4NA40-T4 STD4NA40-1 N - CHANNEL ENHANCEMENT MODE FAST POWER MOS TRANSISTOR
Leaded Cartridge Fuse; Current Rating:500mA; Voltage Rating:250V; Fuse Terminals:Axial Lead; Fuse Type:Time Delay; Voltage Rating:250V; Body Material:Glass; Diameter:4.7mm; Fuse Size/Group:5 x 15 mm; Leaded Process Compatible:Yes RoHS Compliant: Yes
TRANSISTOR | MOSFET | N-CHANNEL | 400V V(BR)DSS | 3.3A I(D) | TO-251
SGS Thomson Microelectronics
STMICROELECTRONICS[STMicroelectronics]
意法半导
0275007.M- 0275003.M- 0275004.M- 027501.5M- 027501 PICO? Fuse Very Fast-Acting Fuse 275/276 Series
Littelfuse
EVM31-050A 2DI75D-050A 1DI240A-055 EVK31-050 2DI75 BIPOLAR TRANSISTOR MODULES Rating and Specifications 双极型晶体管模块等级和规
FUSE, QUICK BLOW 1.25A;; Current, fuse rating:1.25A; Fuse size code:20 x 5mm; Fuse type, blowing characteristic:Quick Blow; Material, case:Glass; Voltage rating, AC:250V; Approval Bodies:IEC127, BS4265, BSI, VDE, SEMKO, UL; Current,
INDUCTOR PWR SHIELDED 68UH SMD
CIRCUIT BREAKER HORZ PCB .5A
Illuminated pushbutton switch with positive tactile response
Electronic Theatre Controls, Inc.
ETC[ETC]
N.A.
List of Unclassifed Manufacturers
215630P 5 x 20 mm Time Lag Fuse (Slo-Blo Fuse)
Littelfuse, Inc.
239250 239200 239300 239_1 239001 239002 239003 23 5 x 20 mm Time Lag Fuse (Slo-Blo) Fuse
LITTELFUSE[Littelfuse]
 
 Related keyword From Full Text Search System
170M5442 Audio 170M5442 panasonic 170M5442 varactor 170M5442 voltage vgs 170M5442 filetype:pdf
170M5442 level 170M5442 address 170M5442 type 170M5442 number 170M5442 output data
 

 

Price & Availability of 170M5442

All Rights Reserved © IC-ON-LINE 2003 - 2022  

[Add Bookmark] [Contact Us] [Link exchange] [Privacy policy]
Mirror Sites :  [www.datasheet.hk]   [www.maxim4u.com]  [www.ic-on-line.cn] [www.ic-on-line.com] [www.ic-on-line.net] [www.alldatasheet.com.cn] [www.gdcy.com]  [www.gdcy.net]


 . . . . .
  We use cookies to deliver the best possible web experience and assist with our advertising efforts. By continuing to use this site, you consent to the use of cookies. For more information on cookies, please take a look at our Privacy Policy. X
0.32006502151489