Part Number Hot Search : 
UM10204 TPCS8004 HT78B33 NJW1124V TDA7564 TSOP1 2907Z GMBTA05
Product Description
Full Text Search

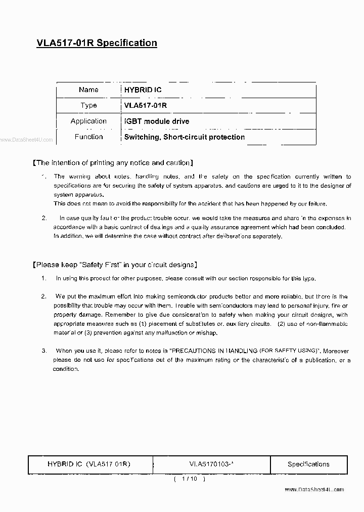
VLA517-01R - HYBRID IC

VLA517-01R_857407.PDF Datasheet


 Full text search : HYBRID IC
 Product Description search : HYBRID IC


 Related Part Number
PART Description Maker
JH-119PIN JH-115PIN JH-114PIN JHS-119PIN JHS-115PI Quadrature Hybrid, 80 - 160 MHz
Surface Mount Quadrature Hybrid, 40 - 80 MHz
Quadrature Hybrid, 20 - 40 MHz
Quadrature Hybrid, 2 - 32 MHz
Quadrature Hybrid, 100 - 200 MHz
Tyco Electronics
LDB211G9020C-001 LDB21906M20C-001 LDB21906M05C-001 Chip Multilayer Hybrid Baluns 1800 MHz - 2000 MHz RF TRANSFORMER
Chip Multilayer Hybrid Baluns 887 MHz - 925 MHz RF TRANSFORMER
Chip Multilayer Hybrid Baluns 800 MHz - 1000 MHz RF TRANSFORMER
Chip Multilayer Hybrid Baluns 1500 MHz - 1700 MHz RF TRANSFORMER
Chip Multilayer Hybrid Baluns 1600 MHz - 1800 MHz RF TRANSFORMER
Murata Manufacturing Co., Ltd.
HH-105PIN HH-105 20-300 MHz, hybrid lunction
Hybrid Junction 20 - 300 MHz 混合0 - 300兆赫
MA-Com
MACOM[Tyco Electronics]
DQP-90-450 90o HYBRID MODEL
90ì HYBRID MODEL
SYNERGY MICROWAVE CORPORATION
DQS-30-450 90o HYBRID MODEL
90ì HYBRID MODEL
SYNERGY MICROWAVE CORPORATION
LH0002CN LH0002CH VOLT FOLLOWER,SINGLE,HYBRID,DIP,10PIN,PLASTIC
VOLT FOLLOWER,SINGLE,HYBRID,CAN,8PIN,METAL
From old datasheet system
Sipex Corp
AHE2805S AHE2815SF_CH-MSTR AHE2815SF_CH-SLV AHE281 HYBRID-HIGH RELIABILITY DC/DC CONVERTER
1-OUTPUT 15 W DC-DC REG PWR SUPPLY MODULE
HYBRID-HIGH RELIABILITY DC/DC CONVERTER
International Rectifier
LAS2112 LAS2115 LAS2124 LAS2100 LAS2105 5 AMP, 85 WATT POSITIVE HYBRID VOLTAGE REGULATORS
(LAS2100 Series) Positive Hybrid Voltage Regulators
List of Unclassifed Manufacturers
ETC
Lambda Semiconductors
XC0900E-03 Hybrid Coupler 3 dB, 90隆?
Hybrid Coupler 3 dB, 90°
Anaren Microwave
2032-6330-00 2032-6339-00 2032-6349-00 2032-6369-0 2000 MHz - 4000 MHz RF/MICROWAVE 90 DEGREE HYBRID COUPLER, 0.25 dB INSERTION LOSS-MAX
4000 MHz - 12400 MHz RF/MICROWAVE 90 DEGREE HYBRID COUPLER, 0.6 dB INSERTION LOSS-MAX
2000 MHz - 18000 MHz RF/MICROWAVE 90 DEGREE HYBRID COUPLER, 1.5 dB INSERTION LOSS-MAX
3 dB Hybrid Couplers
Tyco Electronics
ASA2805D/CH ASA2805D/ES ASA2805D/HB ASA28XXD ASA28 HYBRID-HIGH RELIABILITYDC/DC CONVERTER
2-OUTPUT 5 W DC-DC REG PWR SUPPLY MODULE
   HYBRID-HIGH RELIABILITYDC/DC CONVERTER
International Rectifier
 
 Related keyword From Full Text Search System
VLA517-01R vcc VLA517-01R Planar VLA517-01R switching VLA517-01R Filter VLA517-01R video monitor
VLA517-01R pitch VLA517-01R international VLA517-01R Protect VLA517-01R Hex VLA517-01R Reference
 

 

Price & Availability of VLA517-01R

All Rights Reserved © IC-ON-LINE 2003 - 2022  

[Add Bookmark] [Contact Us] [Link exchange] [Privacy policy]
Mirror Sites :  [www.datasheet.hk]   [www.maxim4u.com]  [www.ic-on-line.cn] [www.ic-on-line.com] [www.ic-on-line.net] [www.alldatasheet.com.cn] [www.gdcy.com]  [www.gdcy.net]


 . . . . .
  We use cookies to deliver the best possible web experience and assist with our advertising efforts. By continuing to use this site, you consent to the use of cookies. For more information on cookies, please take a look at our Privacy Policy. X
0.028368949890137